Официальное опубликование правовых актов
ОФИЦИАЛЬНОЕ ОПУБЛИКОВАНИЕ
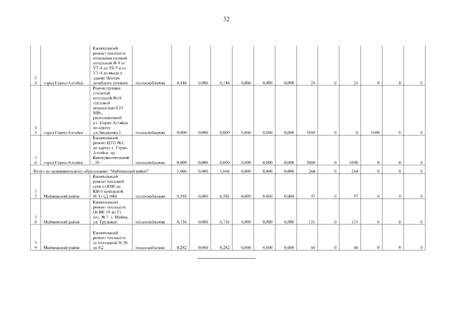
Постановление Правительства Республики Алтай от 18.07.2023 № 273
"О внесении изменений в региональную программу по модернизации систем коммунальной инфраструктуры в Республике Алтай на 2023-2027 годы"
Номер опубликования: 0400202307190005
Дата опубликования: 19.07.2023
Страница №32 из 35:
Увеличить