Официальное опубликование правовых актов
ОФИЦИАЛЬНОЕ ОПУБЛИКОВАНИЕ
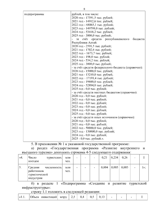
Постановление Правительства Республики Алтай от 30.12.2022 № 480
"О внесении изменений в государственную программу Республики Алтай "Развитие внутреннего и въездного туризма"
Номер опубликования: 0400202301030011
Дата опубликования: 03.01.2023
Страница №8 из 26:
Увеличить