Официальное опубликование правовых актов
ОФИЦИАЛЬНОЕ ОПУБЛИКОВАНИЕ
Постановление Правительства Республики Алтай от 30.12.2022 № 491
"О внесении изменения в приложение к постановлению Правительства Республики Алтай 29 марта 2019 г. № 89"
Номер опубликования: 0400202301030002
Дата опубликования: 03.01.2023
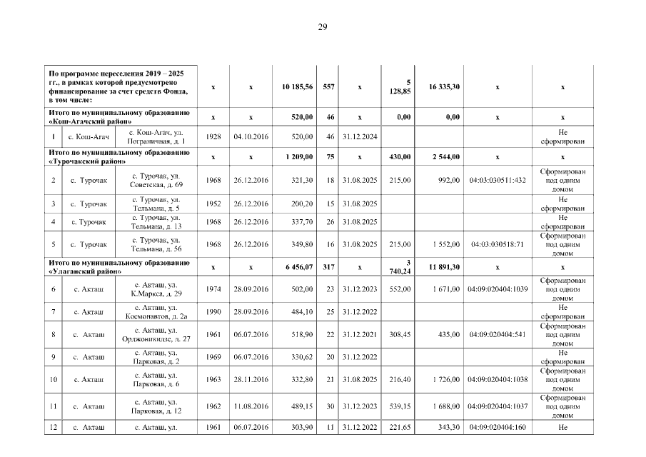
Страница №29 из 40:
Увеличить