Официальное опубликование правовых актов
ОФИЦИАЛЬНОЕ ОПУБЛИКОВАНИЕ
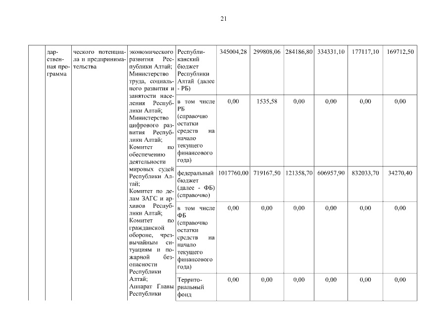
Постановление Правительства Республики Алтай от 28.12.2022 № 473
"О внесении изменений в государственную программу Республики Алтай "Развитие экономического потенциала и предпринимательства"
Номер опубликования: 0400202212290043
Дата опубликования: 29.12.2022
Страница №21 из 55:
Увеличить