Официальное опубликование правовых актов
ОФИЦИАЛЬНОЕ ОПУБЛИКОВАНИЕ
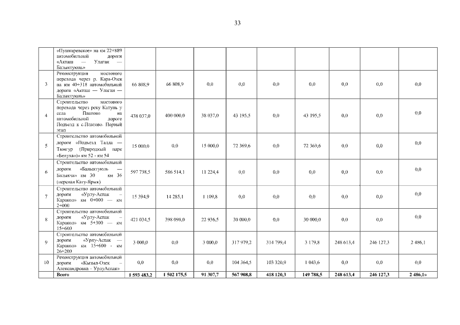
Закон Республики Алтай от 01.11.2022 № 69-РЗ
"О внесении изменений в Закон Республики Алтай "О республиканском бюджете Республики Алтай на 2022 год и на плановый период 2023 и 2024 годов"
Номер опубликования: 0400202211030003
Дата опубликования: 03.11.2022
Страница №33 из 446:
Увеличить