Официальное опубликование правовых актов
ОФИЦИАЛЬНОЕ ОПУБЛИКОВАНИЕ
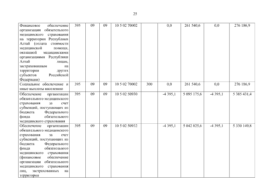
Закон Республики Алтай от 17.12.2021 № 90-РЗ
"О внесении изменений в Закон Республики Алтай "О бюджете Территориального фонда обязательного медицинского страхования Республики Алтай на 2021 год и на плановый период 2022 и 2023 годов"
Номер опубликования: 0400202112230010
Дата опубликования: 23.12.2021
Страница №25 из 29:
Увеличить