Официальное опубликование правовых актов
ОФИЦИАЛЬНОЕ ОПУБЛИКОВАНИЕ
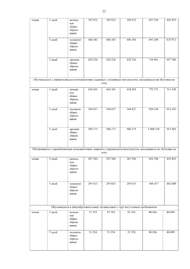
Постановление Правительства Республики Алтай от 03.12.2021 № 369
"О внесении изменений в постановление Правительства Республики Алтай от 24 декабря 2020 года № 426"
Номер опубликования: 0400202112060001
Дата опубликования: 06.12.2021
Страница №11 из 12:
Увеличить