Официальное опубликование правовых актов
ОФИЦИАЛЬНОЕ ОПУБЛИКОВАНИЕ
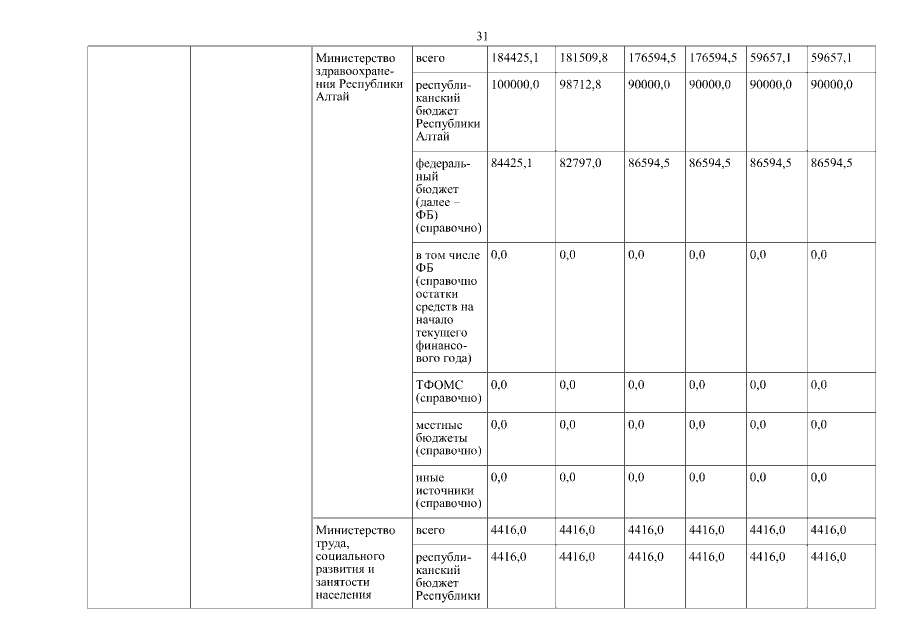
Постановление Правительства Республики Алтай от 12.03.2021 № 59
"О внесении изменений в государственную программу Республики Алтай "Развитие здравоохранения"
Номер опубликования: 0400202103170001
Дата опубликования: 17.03.2021
Страница №31 из 55:
Увеличить