Официальное опубликование правовых актов
ОФИЦИАЛЬНОЕ ОПУБЛИКОВАНИЕ
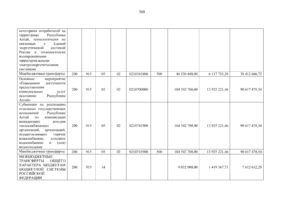
Постановление Правительства Республики Алтай от 07.05.2020 № 163
"Об утверждении отчета об исполнении республиканского бюджета Республики Алтай за первый квартал 2020 года"
Номер опубликования: 0400202005080003
Дата опубликования: 08.05.2020
Страница №368 из 464:
Увеличить