Официальное опубликование правовых актов
ОФИЦИАЛЬНОЕ ОПУБЛИКОВАНИЕ
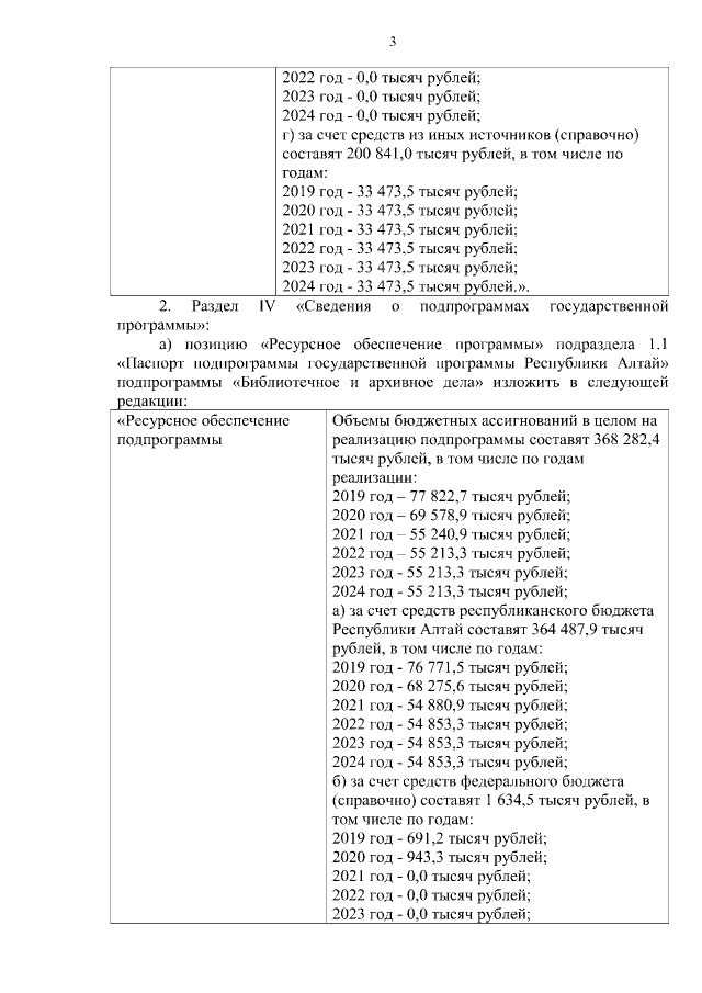
Постановление Правительства Республики Алтай от 20.03.2020 № 106
"О внесении изменений в государственную программу Республики Алтай "Развитие культуры"
Номер опубликования: 0400202003270013
Дата опубликования: 27.03.2020
Страница №3 из 27:
Увеличить