Официальное опубликование правовых актов
ОФИЦИАЛЬНОЕ ОПУБЛИКОВАНИЕ
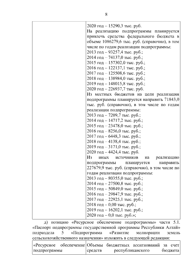
Постановление Правительства Республики Алтай от 26.12.2019 № 382
"О внесении изменений в государственную программу Республики Алтай "Развитие сельского хозяйства и регулирование рынков сельскохозяйственной продукции, сырья и продовольствия"
Номер опубликования: 0400201912270015
Дата опубликования: 27.12.2019
Страница №8 из 102:
Увеличить