Официальное опубликование правовых актов
ОФИЦИАЛЬНОЕ ОПУБЛИКОВАНИЕ
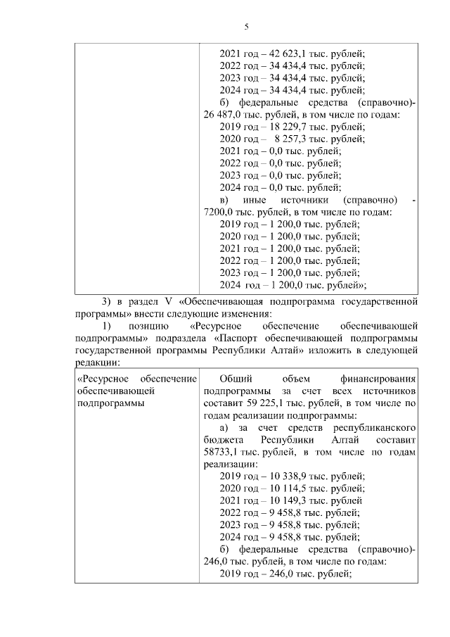
Постановление Правительства Республики Алтай от 24.12.2019 № 368
"О внесении изменений в государственную программу Республики Алтай "Развитие физической культуры и спорта"
Номер опубликования: 0400201912260002
Дата опубликования: 26.12.2019
Страница №5 из 24:
Увеличить