Официальное опубликование правовых актов
ОФИЦИАЛЬНОЕ ОПУБЛИКОВАНИЕ
Постановление Правительства Республики Алтай от 27.12.2018 № 397
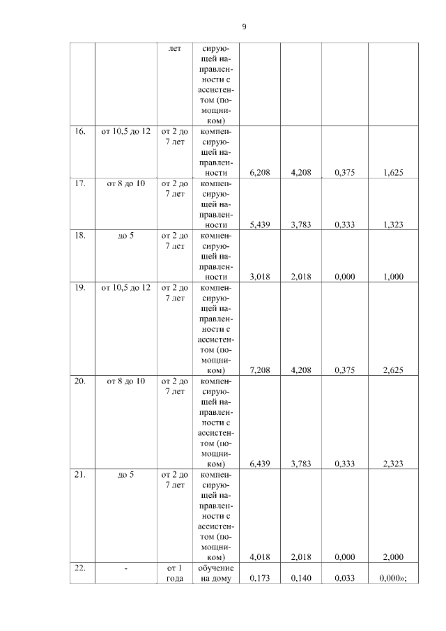
"О внесении изменений в Методику расчета нормативов финансового обеспечения государственных гарантий реализации прав на получение общедоступного и бесплатного дошкольного образования в муниципальных дошкольных образовательных организациях, общедоступного и бесплатного дошкольного, начального общего, основного общего, среднего общего образования в муниципальных общеобразовательных организациях, обеспечения дополнительного образования детей в муниципальных общеобразовательных организациях, утвержденную постановлением Правительства Республики Алтай от 31 января 2017 года № 24"
Номер опубликования: 0400201812270001
Дата опубликования: 27.12.2018
Страница №9 из 11:
Увеличить