Официальное опубликование правовых актов
ОФИЦИАЛЬНОЕ ОПУБЛИКОВАНИЕ
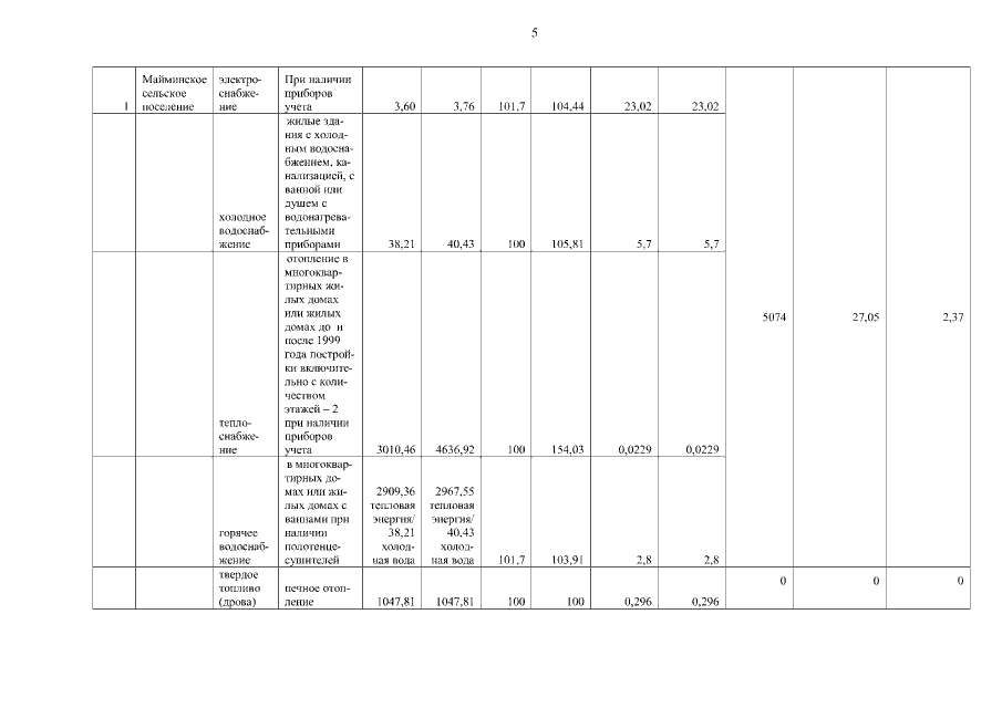
Указ Главы Республики Алтай, Председателя Правительства Республики Алтай от 14.12.2018 № 355-у
"Об утверждении предельных (максимальных) индексов изменения размера вносимой гражданами платы за коммунальные услуги в муниципальных образованиях в Республике Алтай на 2019 год"
Номер опубликования: 0400201812180001
Дата опубликования: 18.12.2018
Страница №5 из 58:
Увеличить