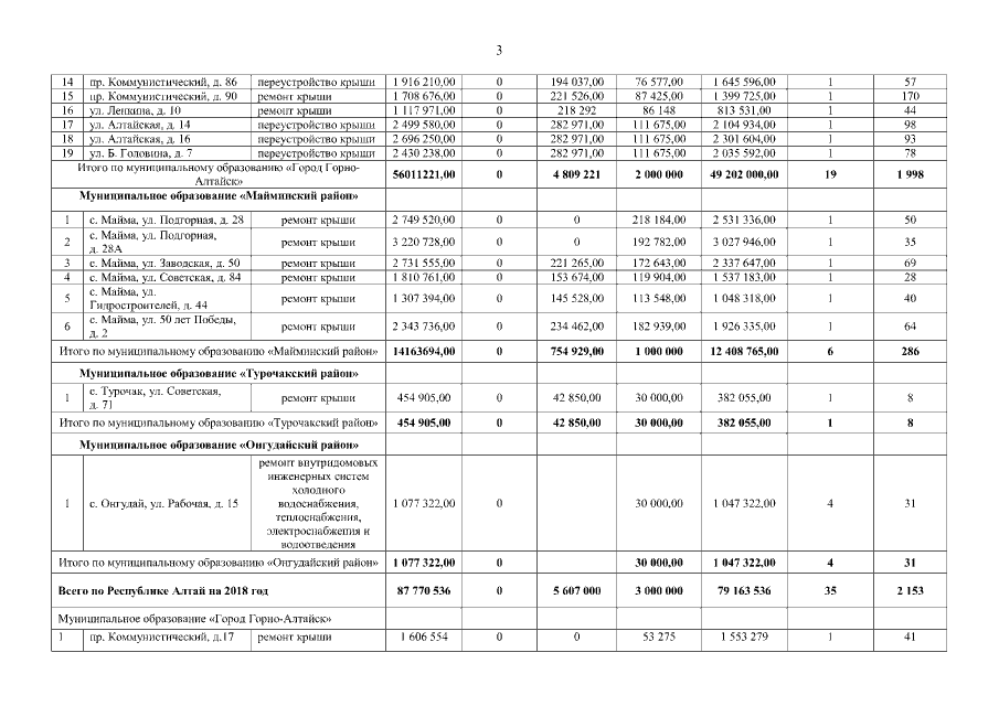
Постановление Правительства Республики Алтай от 30.05.2018 № 157
"О внесении изменения в краткосрочный план реализации региональной программы "Проведение капитального ремонта общего имущества в многоквартирных домах на территории Республики Алтай на 2014-2043 годы" на 2017 – 2019 годы"
"О внесении изменения в краткосрочный план реализации региональной программы "Проведение капитального ремонта общего имущества в многоквартирных домах на территории Республики Алтай на 2014-2043 годы" на 2017 – 2019 годы"
Номер опубликования: 0400201806040008
Дата опубликования:
04.06.2018
