Официальное опубликование правовых актов
ОФИЦИАЛЬНОЕ ОПУБЛИКОВАНИЕ
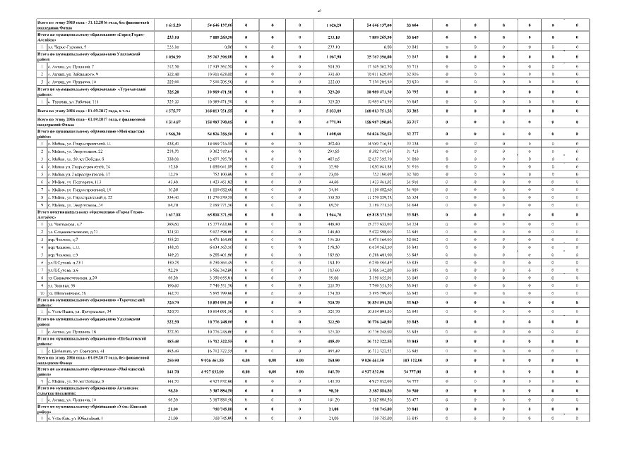
Постановление Правительства Республики Алтай от 30.10.2017 № 288 "О внесении изменений в республиканскую адресную программу "Переселение граждан из аварийного жилищного фонда в Республике Алтай в 2013-2017 годах"
Номер опубликования: 0400201711030001
Дата опубликования: 03.11.2017
Страница №20 из 22:
Увеличить