Официальное опубликование правовых актов
ОФИЦИАЛЬНОЕ ОПУБЛИКОВАНИЕ
Постановление Правительства Республики Алтай от 18.04.2017 № 88
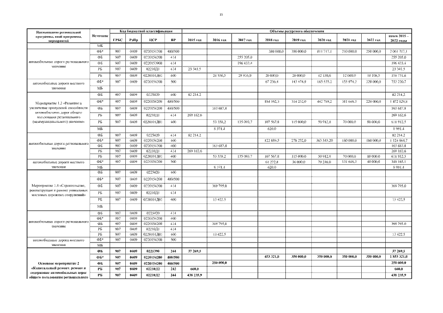
"О внесении изменений в региональную программу Республики Алтай "Увеличение объемов строительства и реконструкции автомобильных дорог общего пользования регионального и местного значения Республики Алтай в период 2015-2022 годов"
Номер опубликования: 0400201704200003
Дата опубликования: 20.04.2017
Страница №15 из 17:
Увеличить