Официальное опубликование правовых актов
ОФИЦИАЛЬНОЕ ОПУБЛИКОВАНИЕ
Постановление Правительства Республики Алтай от 29.03.2017 № 71
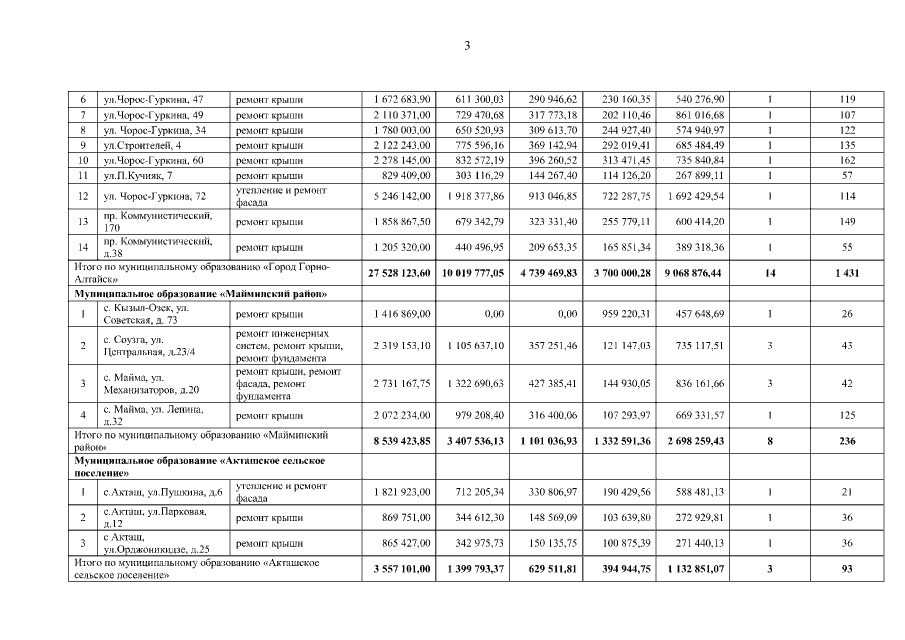
"О фактическом исполнении краткосрочных планов реализации региональной программы "Проведение капитального ремонта общего имущества в многоквартирных домах на территории Республики Алтай на 2014-2043 годы" на 2014-2015, 2016 годы"
Номер опубликования: 0400201703310002
Дата опубликования: 31.03.2017
Страница №3 из 6:
Увеличить