Официальное опубликование правовых актов
ОФИЦИАЛЬНОЕ ОПУБЛИКОВАНИЕ
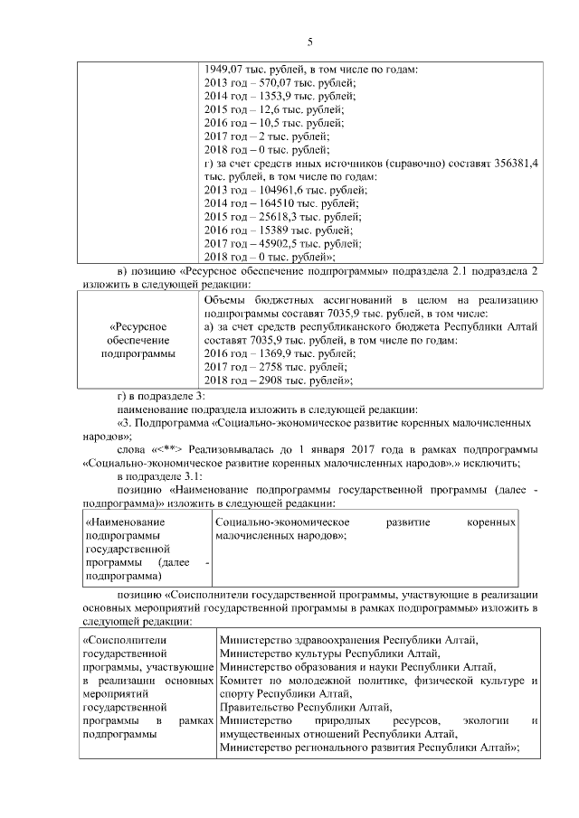
Постановление Правительства Республики Алтай от 16.03.2017 № 58
"О внесении изменений в государственную программу Республики Алтай "Развитие экономического потенциала и предпринимательства"
Номер опубликования: 0400201703200004
Дата опубликования: 20.03.2017
Страница №5 из 36:
Увеличить