Официальное опубликование правовых актов
ОФИЦИАЛЬНОЕ ОПУБЛИКОВАНИЕ
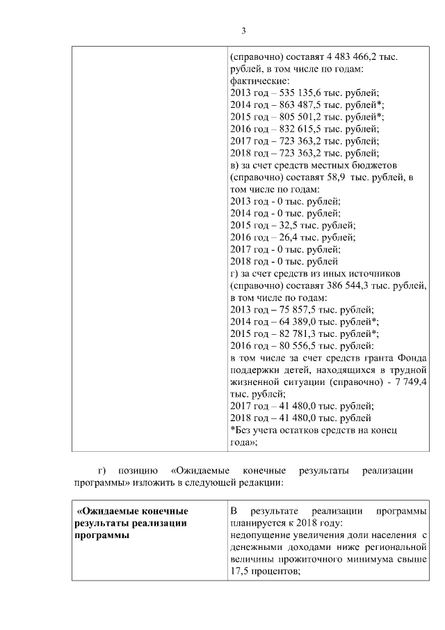
Постановление Правительства Республики Алтай от 29.12.2016 № 371
"О внесении изменений в государственную программу Республики Алтай "Обеспечение социальной защищенности и занятости населения"
Номер опубликования: 0400201612290009
Дата опубликования: 29.12.2016
Страница №3 из 74:
Увеличить