Официальное опубликование правовых актов
ОФИЦИАЛЬНОЕ ОПУБЛИКОВАНИЕ
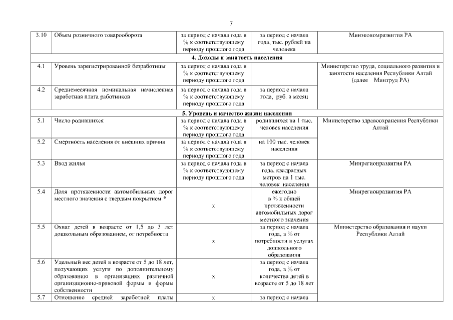
Постановление Правительства Республики Алтай от 22.11.2016 № 337 "О Порядке проведения мониторинга и комплексной оценки социально-экономического развития муниципальных образований в Республике Алтай"
Номер опубликования: 0400201611240003
Дата опубликования: 24.11.2016
Страница №7 из 13:
Увеличить