Официальное опубликование правовых актов
ОФИЦИАЛЬНОЕ ОПУБЛИКОВАНИЕ
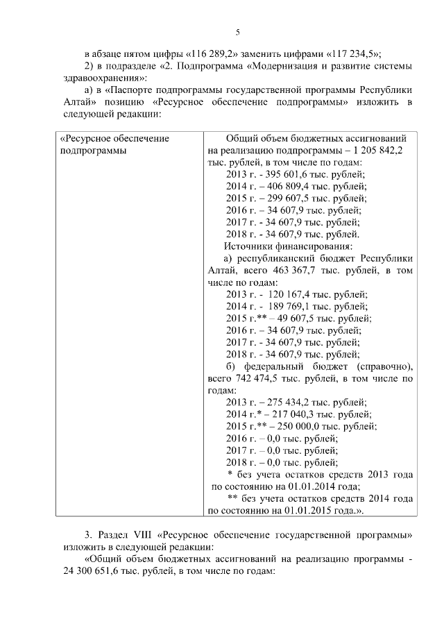
Постановление Правительства Республики Алтай от 29.12.2015 № 446
"О внесении изменений в государственную программу Республики Алтай "Развитие здравоохранения"
Номер опубликования: 0400201512310001
Дата опубликования: 31.12.2015
Страница №5 из 20:
Увеличить