Официальное опубликование правовых актов
ОФИЦИАЛЬНОЕ ОПУБЛИКОВАНИЕ
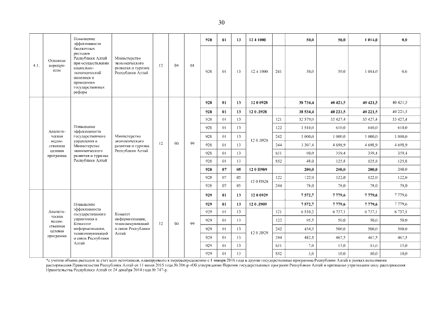
Постановление Правительства Республики Алтай от 09.11.2015 № 368
"О внесении изменений в государственную программу Республики Алтай "Экономическая политика"
Номер опубликования: 0400201511130003
Дата опубликования: 13.11.2015
Страница №30 из 33:
Увеличить