Официальное опубликование правовых актов
ОФИЦИАЛЬНОЕ ОПУБЛИКОВАНИЕ
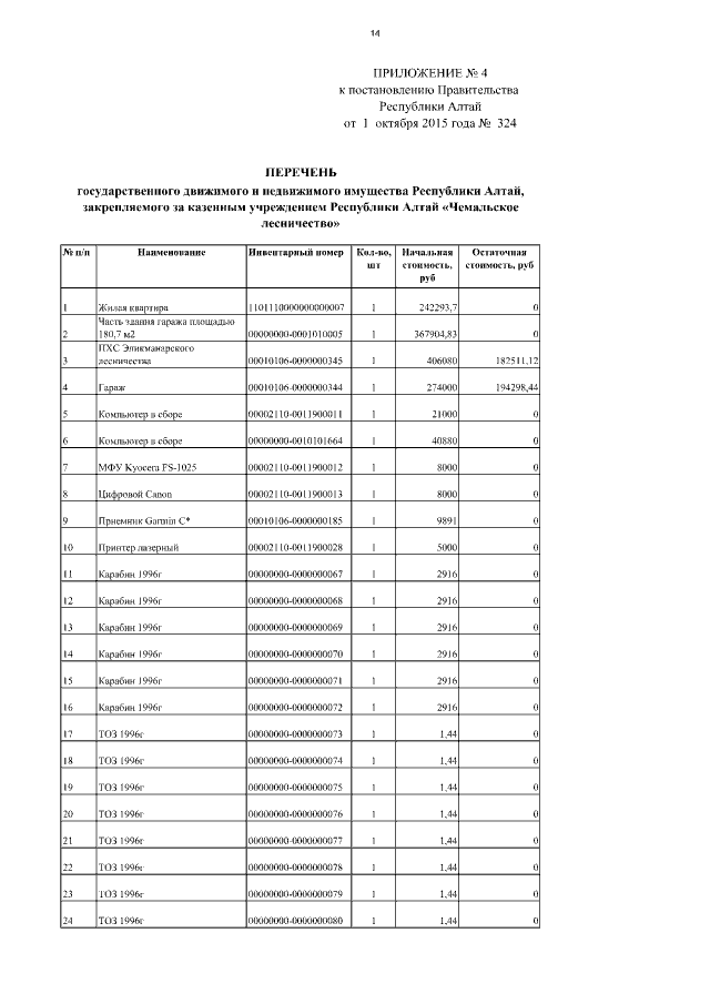
Постановление Правительства Республики Алтай от 01.10.2015 № 324
"О мерах по реализации Указа Главы Республики Алтай, Председателя Правительства Республики Алтай "О реорганизации Министерства природных ресурсов, экологии и имущественных отношений Республики Алтай"
Номер опубликования: 0400201510060002
Дата опубликования: 06.10.2015
Страница №14 из 28:
Увеличить