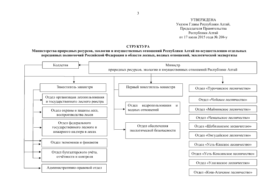
Указ Главы Республики Алтай, Председателя Правительства Республики Алтай от 17.07.2015 № 208-у
"Об определении Министерства природных ресурсов, экологии и имущественных отношений Республики Алтай уполномоченным исполнительным органом государственной власти Республики Алтай по осуществлению отдельных переданных полномочий Российской Федерации в области лесных, водных отношений, экологической экспертизы, об утверждении его структуры и признании утратившими силу некоторых указов Главы Республики Алтай, Председателя Правительства Республики Алтай"
"Об определении Министерства природных ресурсов, экологии и имущественных отношений Республики Алтай уполномоченным исполнительным органом государственной власти Республики Алтай по осуществлению отдельных переданных полномочий Российской Федерации в области лесных, водных отношений, экологической экспертизы, об утверждении его структуры и признании утратившими силу некоторых указов Главы Республики Алтай, Председателя Правительства Республики Алтай"
Номер опубликования: 0400201507210003
Дата опубликования:
21.07.2015
