Официальное опубликование правовых актов
ОФИЦИАЛЬНОЕ ОПУБЛИКОВАНИЕ
Постановление Правительства Республики Алтай от 23.06.2015 № 188
"О внесении изменений в государственную программу Республики Алтай "Развитие культуры"
Номер опубликования: 0400201506250008
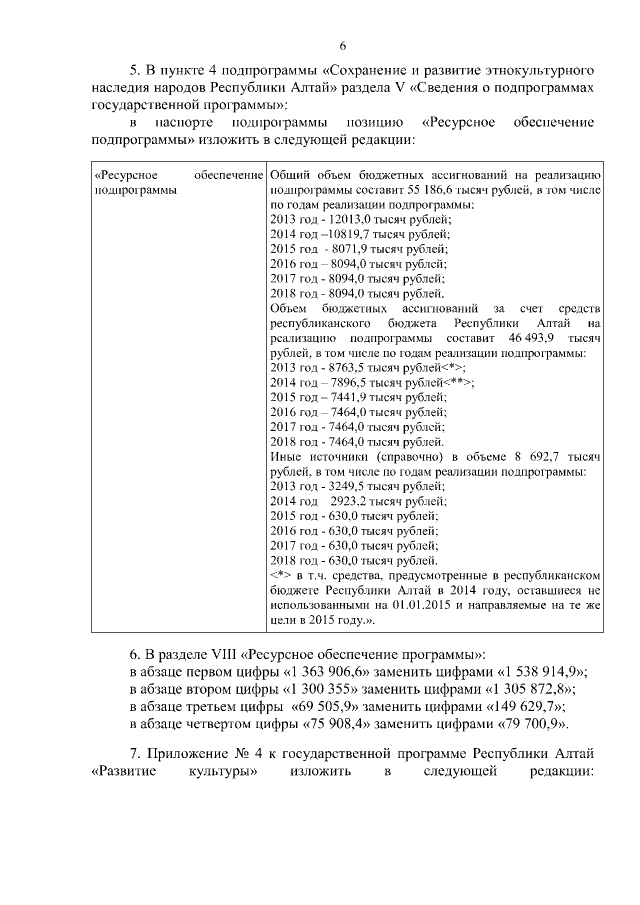
Дата опубликования: 25.06.2015
Страница №6 из 22:
Увеличить