Официальное опубликование правовых актов
ОФИЦИАЛЬНОЕ ОПУБЛИКОВАНИЕ
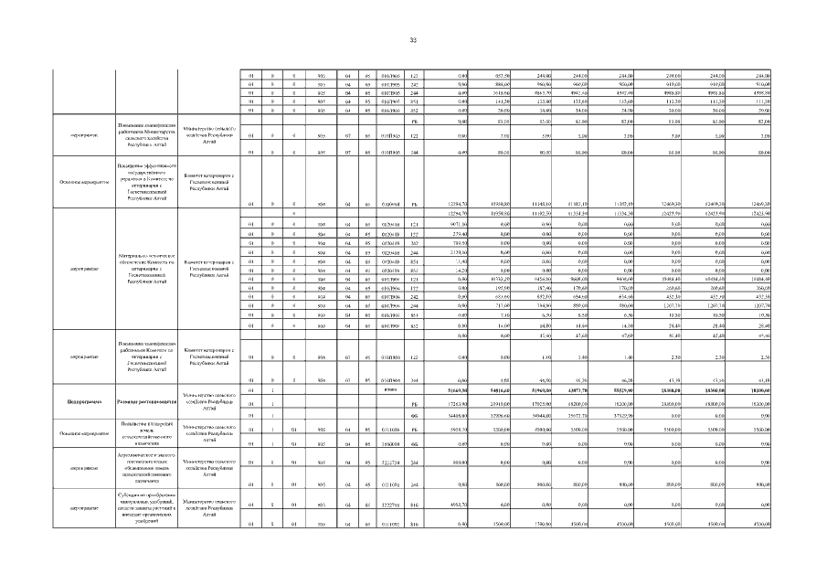
Постановление Правительства Республики Алтай от 04.06.2015 № 149
"О внесении изменений в государственную программу Республики Алтай "Развитие сельского хозяйства и регулирование рынков сельскохозяйственной продукции, сырья и продовольствия"
Номер опубликования: 0400201506080001
Дата опубликования: 08.06.2015
Страница №33 из 44:
Увеличить