Официальное опубликование правовых актов
ОФИЦИАЛЬНОЕ ОПУБЛИКОВАНИЕ
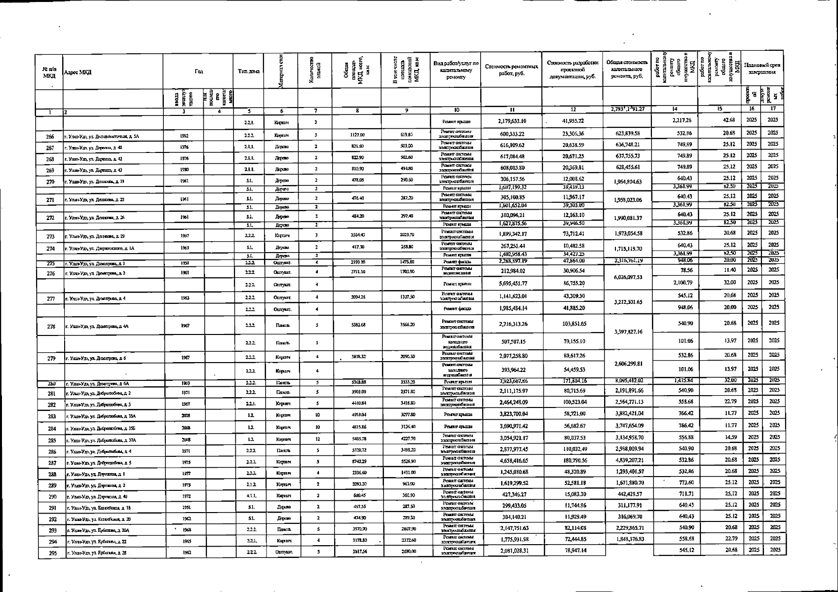
Приказ Министерства строительства и модернизации жилищно-коммунального комплекса Республики Бурятия от 15.12.2025 № 06-ПР274/25
"О внесении изменений в приказ Министерства строительства и модернизации жилищно-коммунального комплекса Республики Бурятия от 28.04.2022 № 06-ПР70/22 "Об утверждении Республиканского краткосрочного плана реализации Республиканской программы "Капитальный ремонт общего имущества в многоквартирных домах, расположенных на территории Республики Бурятия" на 2023-2025 гг."
(Зарегистрирован 19.12.2025 № 032025504)
Номер опубликования: 0301202512230005
Дата опубликования: 23.12.2025
Страница №91 из 166:
Увеличить