Официальное опубликование правовых актов
ОФИЦИАЛЬНОЕ ОПУБЛИКОВАНИЕ
Приказ Министерства строительства и модернизации жилищно-коммунального комплекса Республики Бурятия от 15.12.2025 № 06-ПР275/25
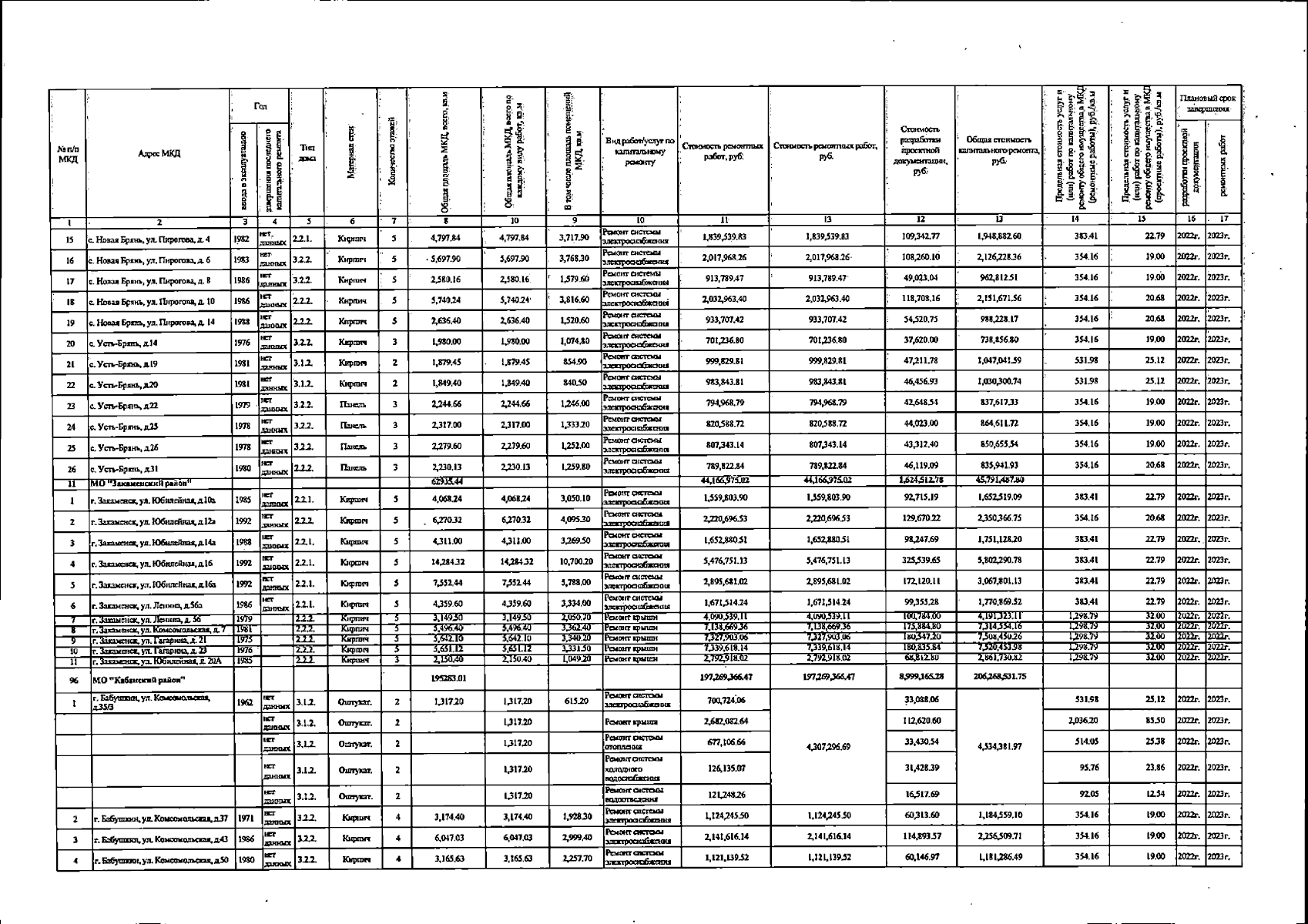
"О внесении изменения в приказ Министерства строительства и модернизации жилищно-коммунального комплекса Республики Бурятия от 08.05.2019 № 06-ПР88/19 "Об утверждении Республиканского краткосрочного плана реализации Республиканской программы "Капитальный ремонт общего имущества в многоквартирных домах, расположенных на территории Республики Бурятия" на 2020-2022 гг. (период реализации 2020-2023 гг.)"
(Зарегистрирован 19.12.2025 № 032025505)
Номер опубликования: 0301202512230003
Дата опубликования: 23.12.2025
Страница №68 из 95:
Увеличить