Официальное опубликование правовых актов
ОФИЦИАЛЬНОЕ ОПУБЛИКОВАНИЕ
Приказ Министерства строительства и модернизации жилищно-коммунального комплекса Республики Бурятия от 21.07.2025 № 06-пр136/25
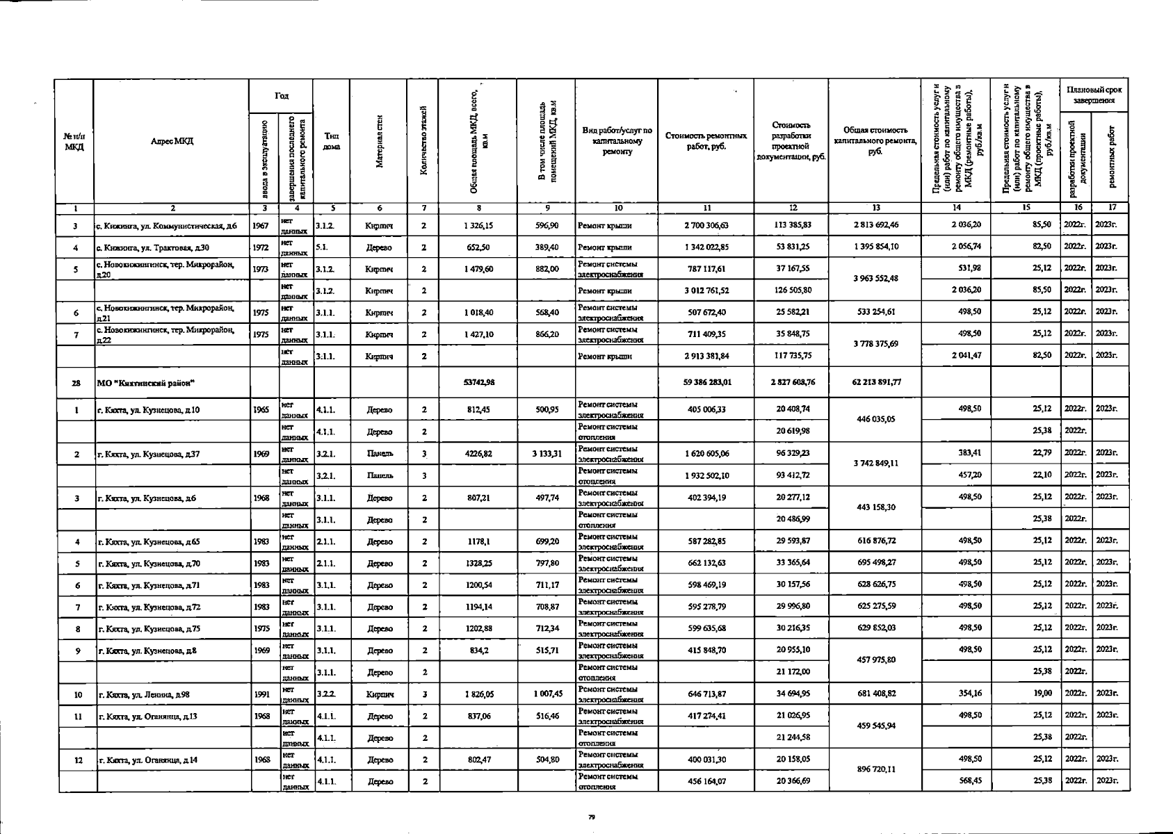
"О внесении изменения в приказ Министерства строительства и модернизации жилищно-коммунального комплекса Республики Бурятия от 08.08.2018 № 06-ПР55/18 "Об утверждении Республиканского краткосрочного плана реализации Республиканской программы "Капитальный ремонт общего имущества в многоквартирных домах, расположенных на территории Республики Бурятия" на 2017-2019 гг. (период реализации 2017-2020 гг.)"
(Зарегистрирован 29.07.2025 № 032025247)
Номер опубликования: 0301202508010005
Дата опубликования: 01.08.2025
Страница №81 из 103:
Увеличить