Официальное опубликование правовых актов
ОФИЦИАЛЬНОЕ ОПУБЛИКОВАНИЕ
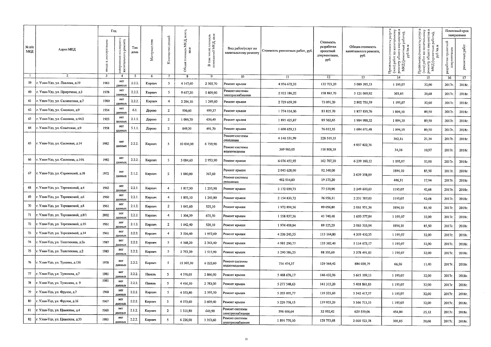
Приказ Министерства строительства и модернизации жилищно-коммунального комплекса Республики Бурятия от 23.12.2024 № 06-ПР326/24
"О внесении изменения в приказ Министерства строительства и модернизации жилищно-коммунального комплекса Республики Бурятия от 08.08.2018 № 06-ПР55/18 "Об утверждении Республиканского краткосрочного плана реализации Республиканской программы "Капитальный ремонт общего имущества в многоквартирных домах, расположенных на территории Республики Бурятия" на 2017-2019 гг. (период реализации 2017-2020 гг.)"
(Зарегистрирован 16.01.2025 № 032025006)
Номер опубликования: 0301202501210001
Дата опубликования: 21.01.2025
Страница №13 из 73:
Увеличить