Официальное опубликование правовых актов
ОФИЦИАЛЬНОЕ ОПУБЛИКОВАНИЕ
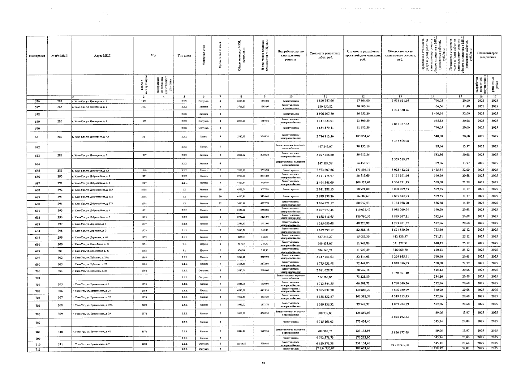
Приказ Министерства строительства и модернизации жилищно-коммунального комплекса Республики Бурятия от 10.12.2024 № 06-ПР286/24
"О внесении изменения в приказ Министерства строительства и модернизации жилищно-коммунального комплекса Республики Бурятия от 28.04.2022 № 06-ПР70/22 "Об утверждении Республиканского краткосрочного плана реализации Республиканской программы "Капитальный ремонт общего имущества в многоквартирных домах, расположенных на территории Республики Бурятия" на 2023-2025 гг."
(Зарегистрирован 19.12.2024 № 032024560)
Номер опубликования: 0301202412240001
Дата опубликования: 24.12.2024
Страница №92 из 118:
Увеличить