Официальное опубликование правовых актов
ОФИЦИАЛЬНОЕ ОПУБЛИКОВАНИЕ
Приказ Министерства природных ресурсов и экологии Республики Бурятия от 21.10.2024 № 360-ПР
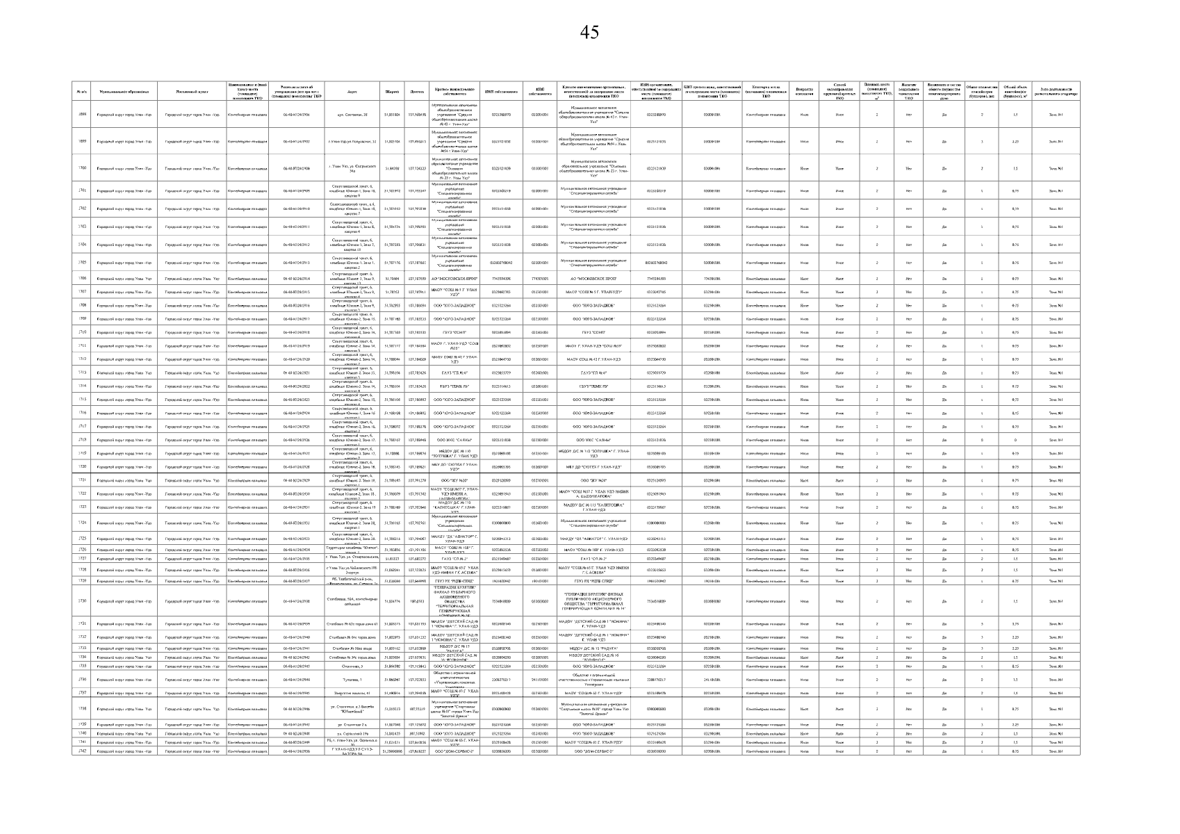
"О внесении изменений в приказ Министерства природных ресурсов Республики Бурятия от 29.04.2020 № 159-ПР "Об утверждении территориальной схемы обращения с отходами Республики Бурятия"
(Зарегистрирован 05.11.2024 № 032024302)
Номер опубликования: 0301202411080007
Дата опубликования: 08.11.2024
Страница №45 из 88:
Увеличить