Официальное опубликование правовых актов
ОФИЦИАЛЬНОЕ ОПУБЛИКОВАНИЕ
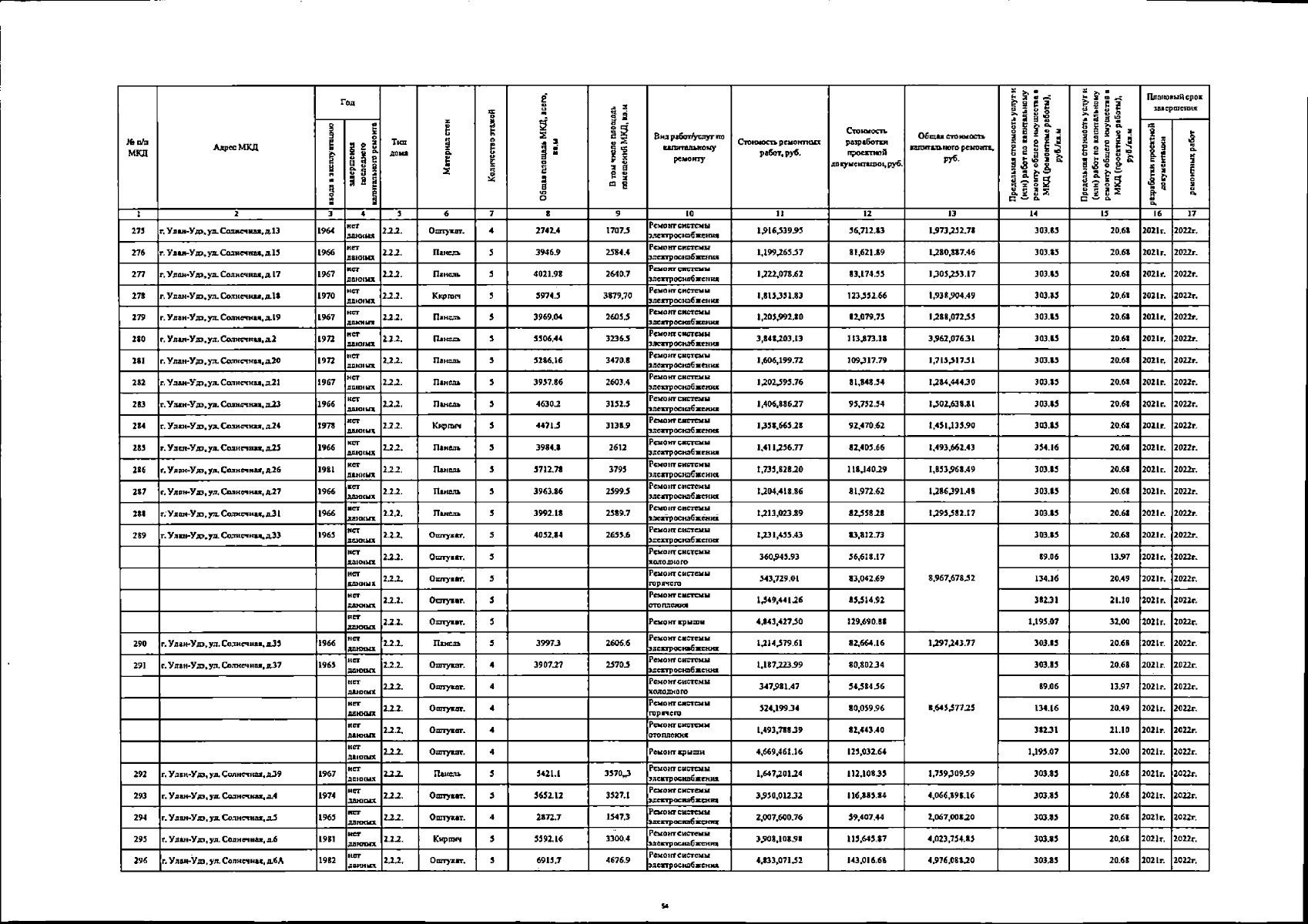
Приказ Министерства строительства и модернизации жилищно-коммунального комплекса Республики Бурятия от 31.07.2024 № 06-ПР144/24
"О внесении изменения в приказ Министерства строительства и модернизации жилищно-коммунального комплекса Республики Бурятия от 08.05.2019 № 06-ПР88/19 "Об утверждении Республиканского краткосрочного плана реализации Республиканской программы "Капитальный ремонт общего имущества в многоквартирных домах, расположенных на территории Республики Бурятия" на 2020-2022 гг. (период реализации 2020-2023 гг.)"
(Зарегистрирован 06.08.2024 № 032024213)
Номер опубликования: 0301202408090002
Дата опубликования: 09.08.2024
Страница №56 из 91:
Увеличить