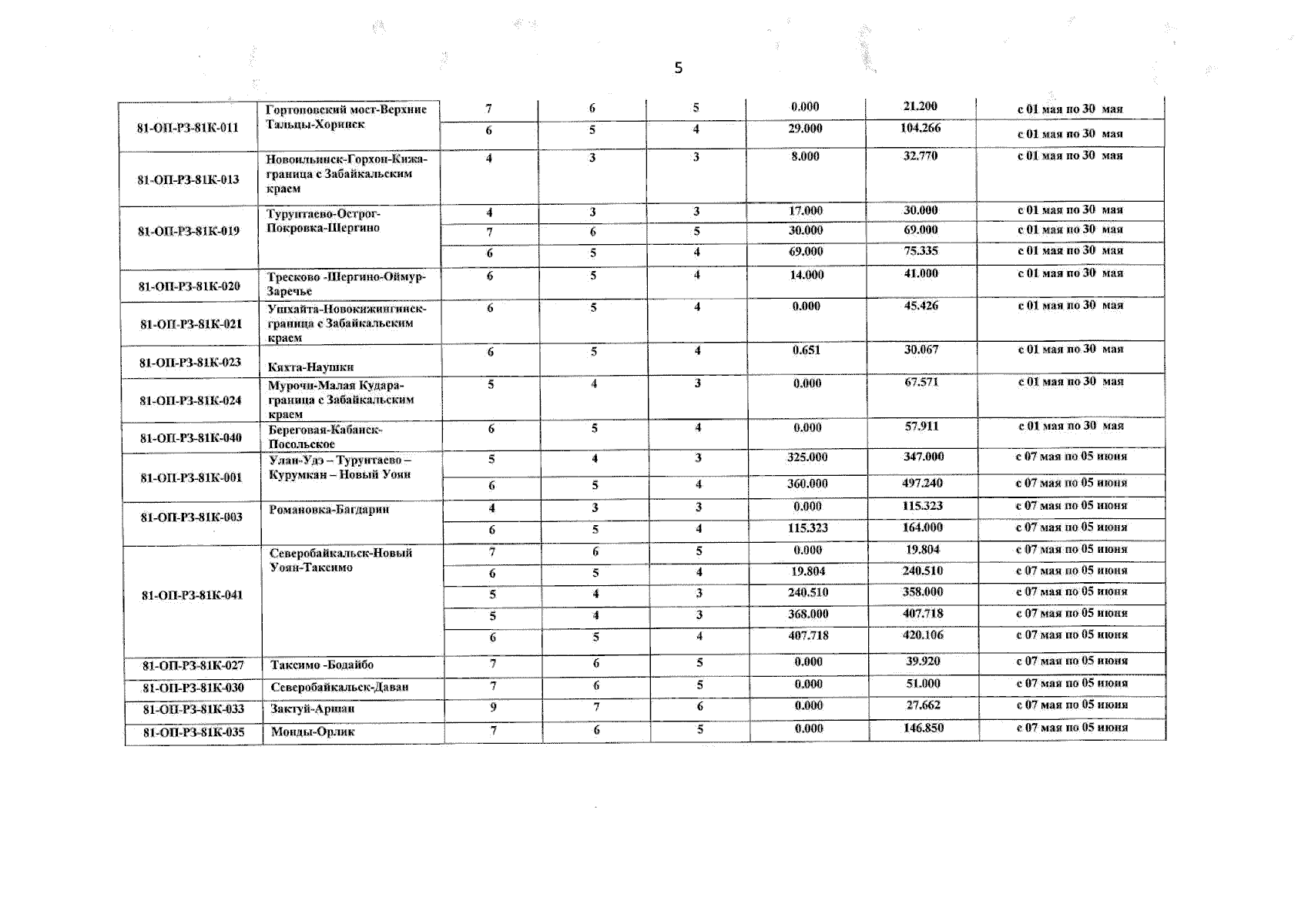
Приказ Министерства по развитию транспорта, энергетики и дорожного хозяйства Республики Бурятия от 25.01.2024 № 11
"О введении временных ограничений движения транспортных средств по автомобильным дорогам общего пользования регионального значения Республики Бурятия в 2024 году"
(Зарегистрирован 06.02.2024 № 032024037)
"О введении временных ограничений движения транспортных средств по автомобильным дорогам общего пользования регионального значения Республики Бурятия в 2024 году"
(Зарегистрирован 06.02.2024 № 032024037)
Номер опубликования: 0301202402080002
Дата опубликования:
08.02.2024
