Официальное опубликование правовых актов
ОФИЦИАЛЬНОЕ ОПУБЛИКОВАНИЕ
Приказ Министерства строительства и модернизации и жилищно-коммунального комплекса Республики Бурятия от 15.12.2022 № 06-ПР260/22
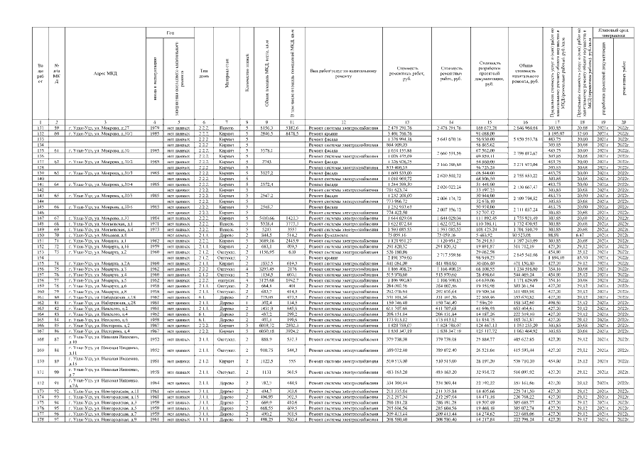
"О внесении изменения в приказ Министерства строительства и модернизации жилищно-коммунального комплекса Республики Бурятия от 08.05.2019 № 06-ПР88/19 "Об утверждении Республиканского краткосрочного плана реализации Республиканской программы "Капитальный ремонт общего имущества в многоквартирных домах, расположенных на территории Республики Бурятия, на 2014-2043 годы" на 2020-2022гг. (период реализации 2020-2023гг.)"
(Зарегистрирован 23.12.2022 № 032022730)
Номер опубликования: 0301202212280009
Дата опубликования: 28.12.2022
Страница №36 из 66:
Увеличить