Официальное опубликование правовых актов
ОФИЦИАЛЬНОЕ ОПУБЛИКОВАНИЕ
Приказ Министерства строительства и модернизации и жилищно-коммунального комплекса Республики Бурятия от 15.12.2022 № 06-ПР259/22
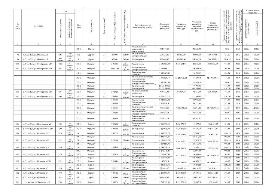
"О внесении изменения в приказ Министерства строительства и модернизации жилищно-коммунального комплекса Республики Бурятия от 08.08.2018 № 06-ПР55/18 "Об утверждении Республиканского краткосрочного плана реализации Республиканской программы "Капитальный ремонт общего имущества в многоквартирных домах, расположенных на территории Республики Бурятия, на 2014-2043 годы" на 2017-2019г.г. (период реализации 2017-2020г.г.)"
(Зарегистрирован 23.12.2022 № 032022729)
Номер опубликования: 0301202212280008
Дата опубликования: 28.12.2022
Страница №54 из 57:
Увеличить