Официальное опубликование правовых актов
ОФИЦИАЛЬНОЕ ОПУБЛИКОВАНИЕ
Приказ Министерства строительства и модернизации и жилищно-коммунального комплекса Республики Бурятия от 08.06.2022 № 06-ПР98/22
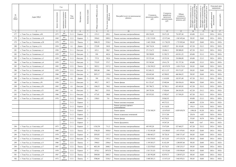
"О внесении изменения в приказ Министерства строительства и модернизации жилищно-коммунального комплекса Республики Бурятия от 08.05.2019 № 06-ПР88/19 "Об утверждении Республиканского краткосрочного плана реализации Республиканской программы "Капитальный ремонт общего имущества в многоквартирных домах, расположенных на территории Республики Бурятия, на 2014-2043 годы" на 2020-2022 гг. (период реализации 2020-2023 гг.)"
(Зарегистрирован 24.06.2022 № 032022223)
Номер опубликования: 0301202207010001
Дата опубликования: 01.07.2022
Страница №54 из 87:
Увеличить