Официальное опубликование правовых актов
ОФИЦИАЛЬНОЕ ОПУБЛИКОВАНИЕ
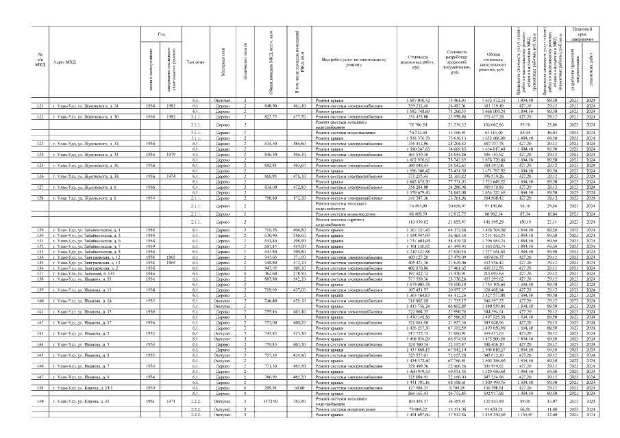
Приказ Министерства строительства и модернизации и жилищно-коммунального комплекса Республики Бурятия от 28.04.2022 № 06-ПР70/22
"Об утверждении Республиканского краткосрочного плана реализации Республиканской программы "Капитальный ремонт общего имущества в многоквартирных домах, расположенных на территории Республики Бурятия, на 2014 – 2043 годы" на 2023 – 2025 г.г."
(Зарегистрирован 17.05.2022 № 032022162)
Номер опубликования: 0301202205250001
Дата опубликования: 25.05.2022
Страница №13 из 102:
Увеличить