Официальное опубликование правовых актов
ОФИЦИАЛЬНОЕ ОПУБЛИКОВАНИЕ
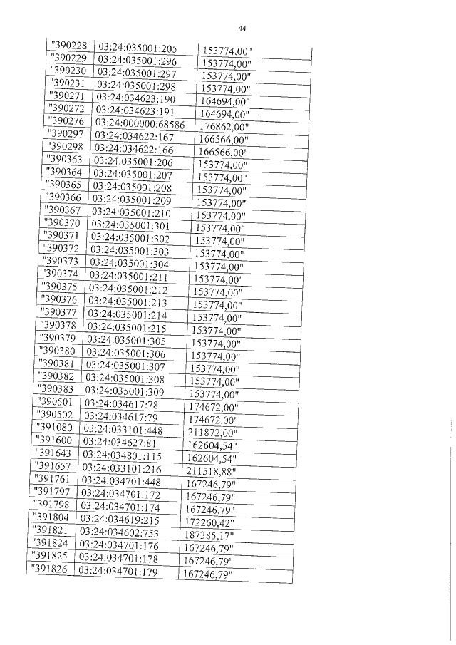
Приказ Министерства имущественных и земельных отношений Республики Бурятия от 25.02.2022 № 14
"О внесении изменений в приказ Министерства имущественных и земельных отношений Республики Бурятия от 15.10.2020 № 80 "Об утверждении результатов определения кадастровой стоимости земельных участков в составе всех категорий земель, расположенных на территории Республики Бурятия"
(Зарегистрирован 09.03.2022 № 032022061)
Номер опубликования: 0301202203150001
Дата опубликования: 15.03.2022
Страница №44 из 47:
Увеличить