Официальное опубликование правовых актов
ОФИЦИАЛЬНОЕ ОПУБЛИКОВАНИЕ
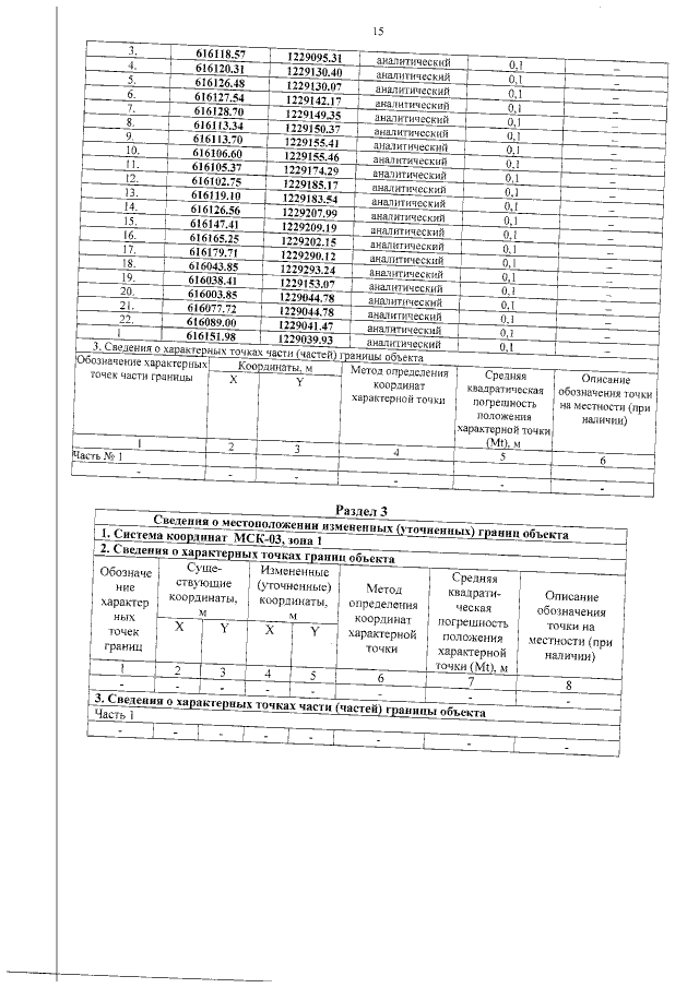
Приказ Администрации Главы Республики Бурятия и Правительства Республики Бурятия от 14.02.2022 № 134д
"Об утверждении границ зон охраны объектов культурного наследия регионального значения, расположенных в Окинском и Прибайкальском районах Республики Бурятия, режимов использования земель и требований к градостроительным регламентам в границах данных зон"
(Зарегистрирован 24.02.2022 № 032022055)
Номер опубликования: 0301202203050001
Дата опубликования: 05.03.2022
Страница №17 из 67:
Увеличить