Официальное опубликование правовых актов
ОФИЦИАЛЬНОЕ ОПУБЛИКОВАНИЕ
Приказ Министерства имущественных и земельных отношений Республики Бурятия от 29.10.2021 № 107
"Об утверждении результатов определения кадастровой стоимости объектов капитального строительства, расположенных на территории Республики Бурятия"
(Зарегистрирован 24.11.2021 № 032021411)
Номер опубликования: 0301202111290001
Дата опубликования: 29.11.2021
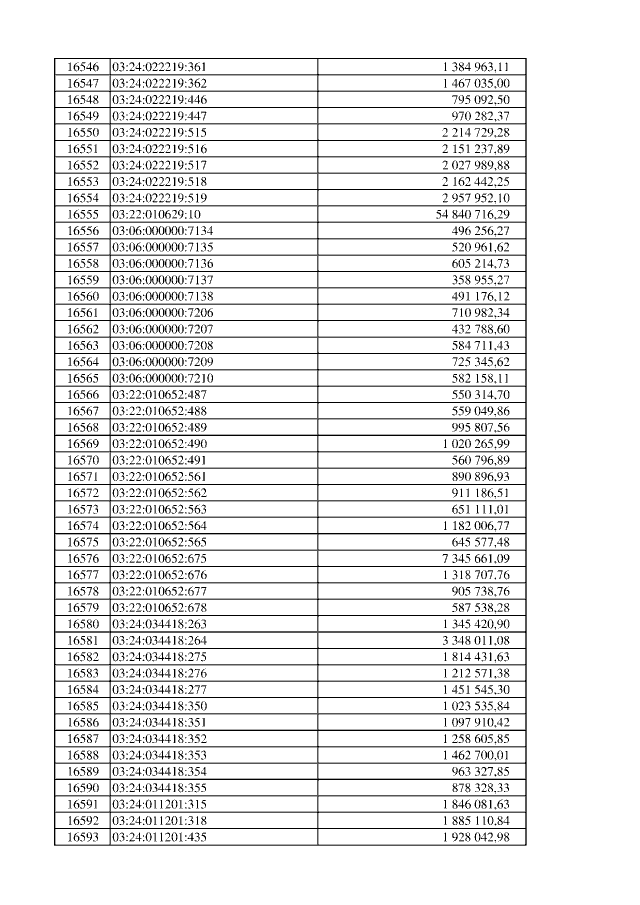
Страница №347 из 11410:
Увеличить