Официальное опубликование правовых актов
ОФИЦИАЛЬНОЕ ОПУБЛИКОВАНИЕ
Приказ Министерства строительства и модернизации и жилищно-коммунального комплекса Республики Бурятия от 07.06.2021 № 06-ПР108/21
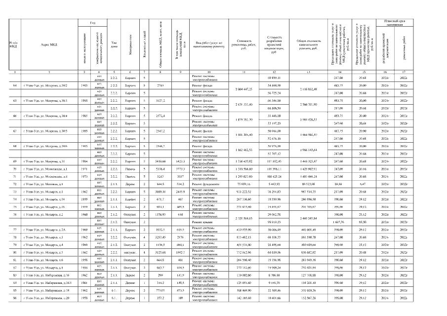
"О внесении изменения в приказ Министерства строительства и модернизации жилищно-коммунального комплекса Республики Бурятия от 08.05.2019 № 06-ПР88/19 "Об утверждении Республиканского краткосрочного плана реализации Республиканской программы "Капитальный ремонт общего имущества в многоквартирных домах, расположенных на территории Республики Бурятия, на 2014-2043 годы" на 2020 -2022 гг. (период реализации 2020-2023гг.)"
(Зарегистрирован 21.06.2021 № 032021225)
Номер опубликования: 0301202106280004
Дата опубликования: 28.06.2021
Страница №57 из 105:
Увеличить