Официальное опубликование правовых актов
ОФИЦИАЛЬНОЕ ОПУБЛИКОВАНИЕ
Приказ Министерства строительства и модернизации и жилищно-коммунального комплекса Республики Бурятия от 07.06.2021 № 06-ПР107/21
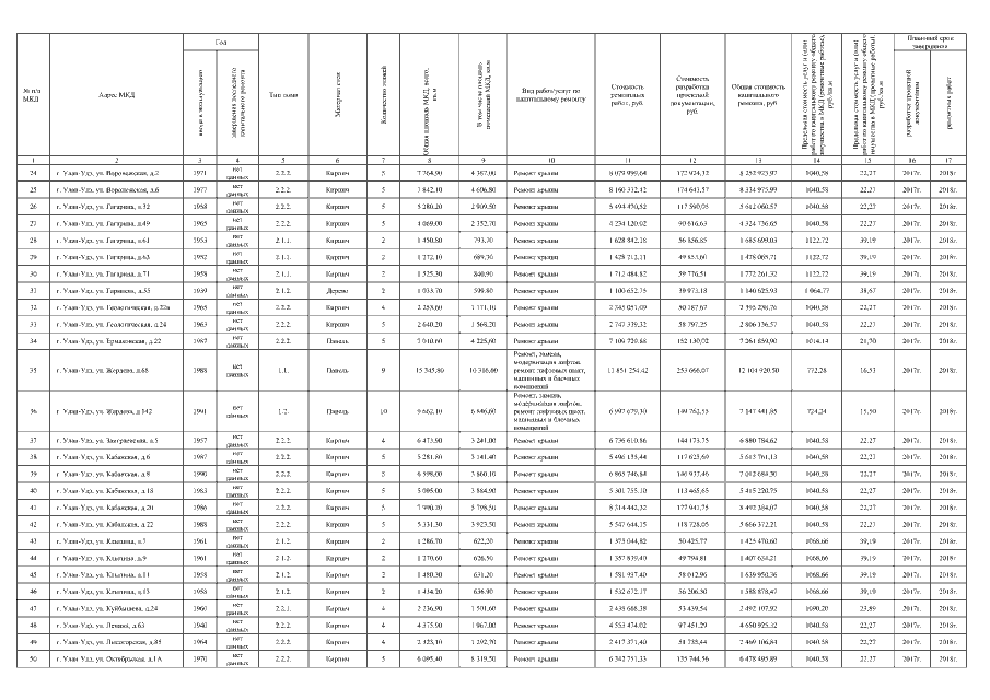
"О внесении изменения в приказ Министерства строительства и модернизации жилищно-коммунального комплекса Республики Бурятия от 08.08.2018 № 06-ПР55/18 "Об утверждении Республиканского краткосрочного плана реализации Республиканской программы "Капитальный ремонт общего имущества в многоквартирных домах, расположенных на территории Республики Бурятия, на 2014-2043 годы" на 2017 -2019 гг. (период реализации 2017-2020гг.)"
(Зарегистрирован 21.06.2021 № 032021224)
Номер опубликования: 0301202106280003
Дата опубликования: 28.06.2021
Страница №12 из 62:
Увеличить