Официальное опубликование правовых актов
ОФИЦИАЛЬНОЕ ОПУБЛИКОВАНИЕ
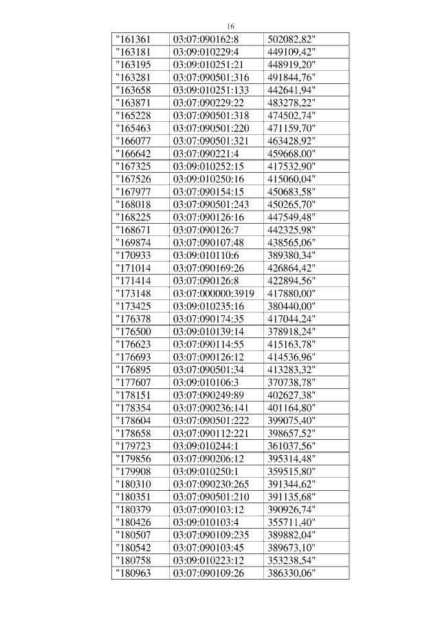
Приказ Министерства имущественных и земельных отношений Республики Бурятия от 29.04.2021 № 32
"О внесении изменений в приказ Министерства имущественных и земельных отношений Республики Бурятия от 15.10.2020 № 80 "Об утверждении результатов определения кадастровой стоимости земельных участков в составе всех категорий земель, расположенных на территории Республики Бурятия"
(Зарегистрирован 28.05.2021 № 032021186)
Номер опубликования: 0301202106030001
Дата опубликования: 03.06.2021
Страница №16 из 112:
Увеличить