Официальное опубликование правовых актов
ОФИЦИАЛЬНОЕ ОПУБЛИКОВАНИЕ
Приказ Министерства строительства и модернизации и жилищно-коммунального комплекса Республики Бурятия от 15.04.2020 № 06-ПР91/20
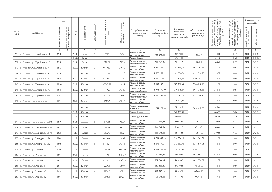
"О внесении изменений в приказ Министерства строительства и модернизации жилищно-коммунального комплекса Республики Бурятия от 08.05.2019 № 06-ПР88/19 "Об утверждении Республиканского краткосрочного плана реализации Республиканской программы "Капитальный ремонт общего имущества в многоквартирных домах, расположенных на территории Республики Бурятия, на 2014-2043 годы" на 2020 -2022 гг. (период реализации 2020-2023гг.)"
(Зарегистрирован 22.04.2020 № 032020161)
Номер опубликования: 0301202004280005
Дата опубликования: 28.04.2020
Страница №74 из 120:
Увеличить