Официальное опубликование правовых актов
ОФИЦИАЛЬНОЕ ОПУБЛИКОВАНИЕ
Указ Главы Республики Бурятия от 10.02.2026 № 18
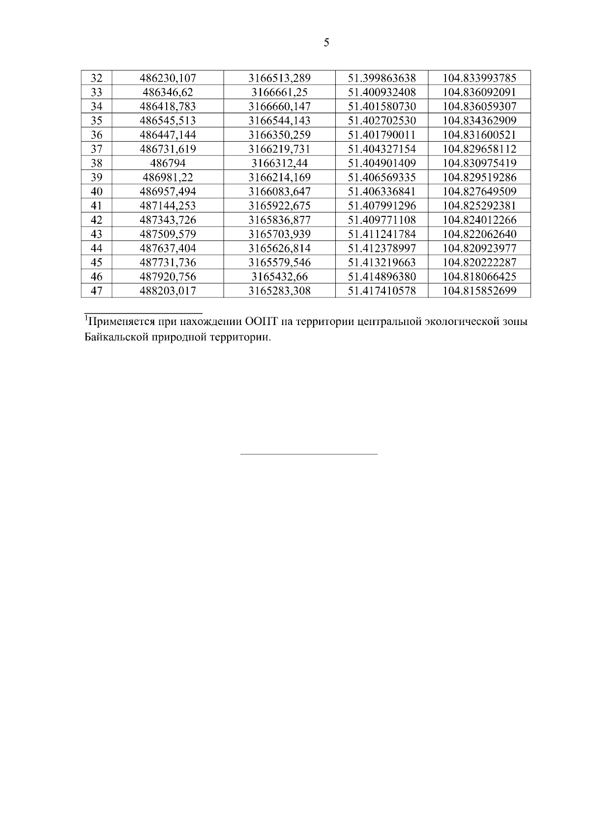
"О создании охранной зоны особо охраняемой природной территории регионального значения - природного парка "Мамай" и утверждении Положения об охранной зоне особо охраняемой природной территории регионального значения - природного парка "Мамай"
Номер опубликования: 0300202602160001
Дата опубликования: 16.02.2026
Страница №6 из 7:
Увеличить