Официальное опубликование правовых актов
ОФИЦИАЛЬНОЕ ОПУБЛИКОВАНИЕ
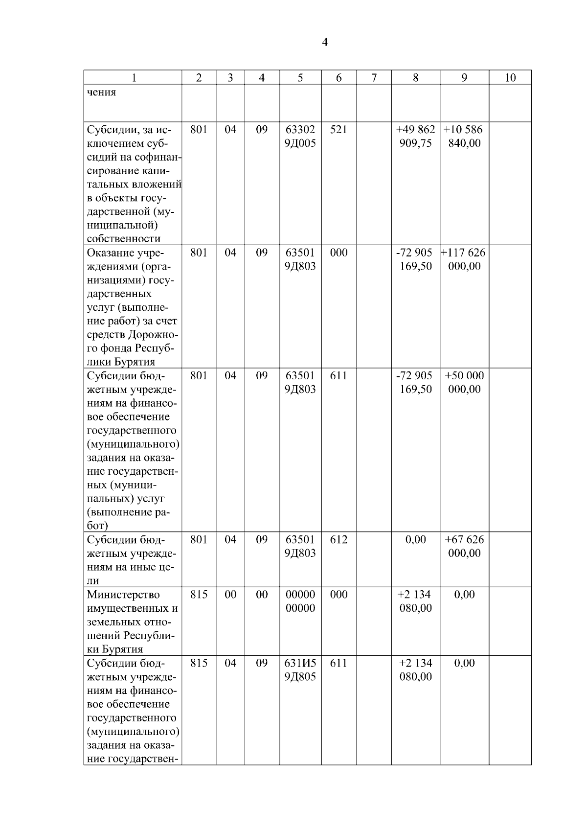
Распоряжение Правительства Республики Бурятия от 29.11.2025 № 981-р
Номер опубликования: 0300202512010004
Дата опубликования: 01.12.2025
Страница №4 из 8:
Увеличить