Официальное опубликование правовых актов
ОФИЦИАЛЬНОЕ ОПУБЛИКОВАНИЕ
Постановление Правительства Республики Бурятия от 01.07.2025 № 398
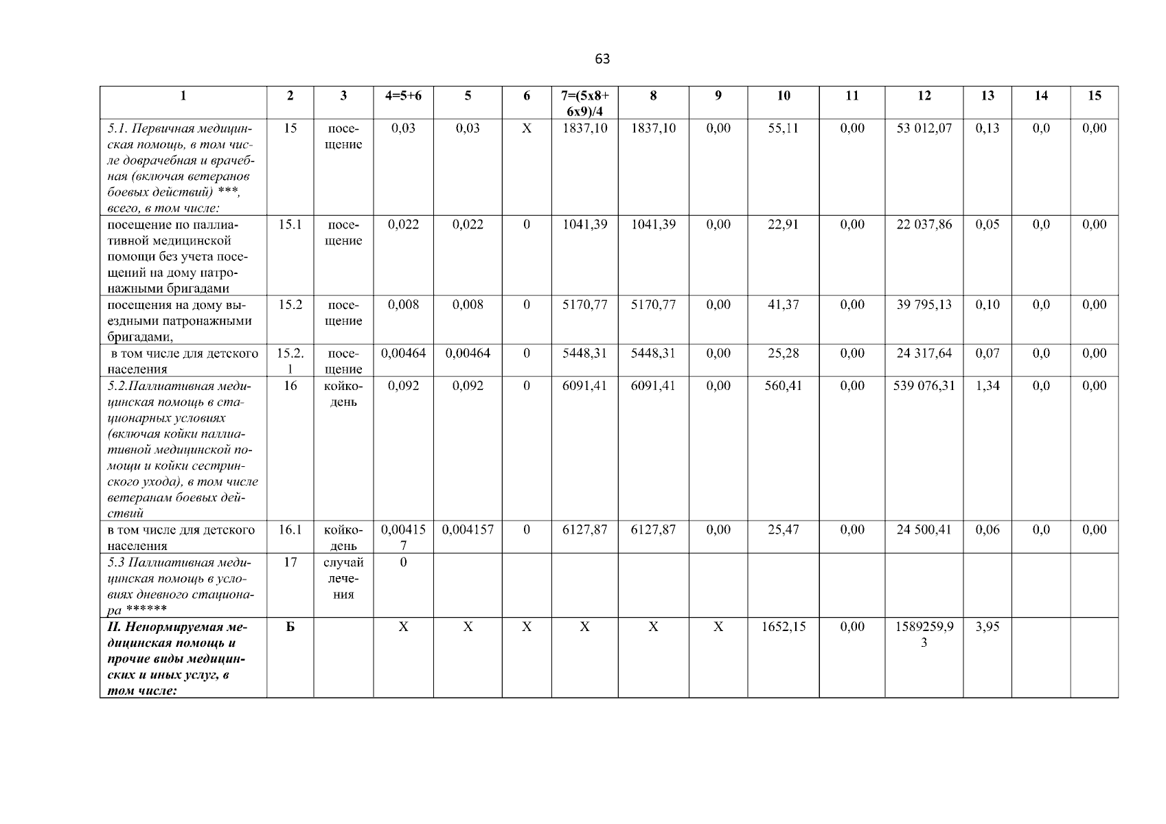
"О внесении изменений в постановление Правительства Республики Бурятия от 31.01.2025 № 58 "О Программе государственных гарантий бесплатного оказания гражданам медицинской помощи на территории Республики Бурятия на 2025 год и на плановый период 2026 и 2027 годов"
Номер опубликования: 0300202507030004
Дата опубликования: 03.07.2025
Страница №80 из 109:
Увеличить