Официальное опубликование правовых актов
ОФИЦИАЛЬНОЕ ОПУБЛИКОВАНИЕ
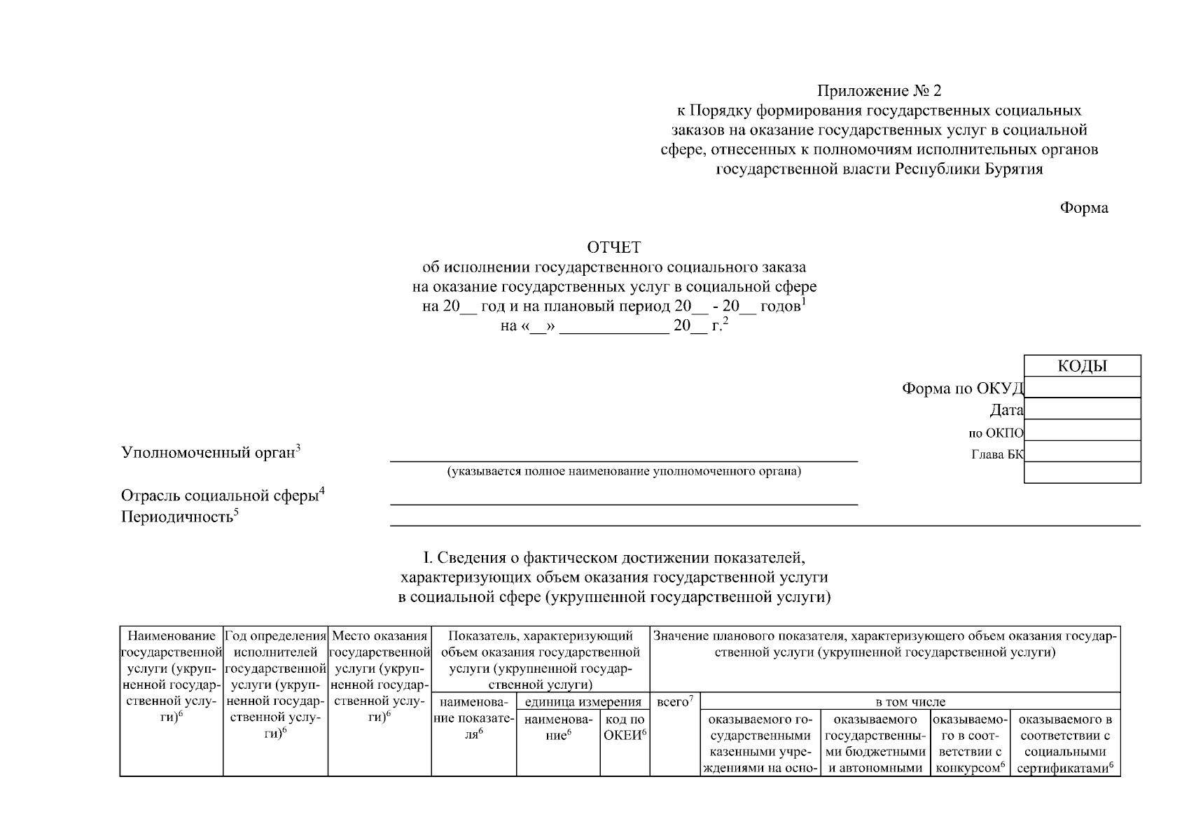
Постановление Правительства Республики Бурятия от 25.06.2025 № 368
"Об утверждении Порядка формирования государственных социальных заказов на оказание государственных услуг в социальной сфере, отнесенных к полномочиям исполнительных органов государственной власти Республики Бурятия"
Номер опубликования: 0300202506270001
Дата опубликования: 27.06.2025
Страница №24 из 31:
Увеличить